恭学课程
升本在线题库
免费试听课
天津升本课
升本专业课
浙江升本课
新疆升本课
山西升本课
内蒙升本课
山东升本课
云南升本课
四级通关班
公益升本课
历年真题
万人模考
首页
学习资料
升本政策
浙江专升本网
天津专升本网
云南专升本网
举报方式
举报电话:15602140888
举报邮箱:1756055738@qq.com
恭学课程
升本在线题库
免费试听课
天津升本课
升本专业课
浙江升本课
新疆升本课
山西升本课
内蒙升本课
山东升本课
云南升本课
四级通关班
公益升本课
历年真题
万人模考
首页
学习资料
升本政策
浙江专升本网
天津专升本网
云南专升本网
举报方式
举报电话:15602140888
举报邮箱:1756055738@qq.com
登录
注册
登录
注册
资讯频道
【恭学教育】专升本历年真题
正文
30
10月
恭学网校|天津专升本历年真题:2013年专升本数学真题及答案
4716
0
0
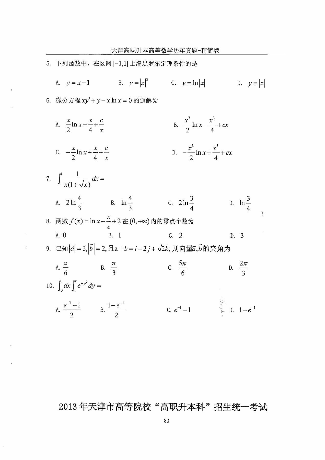
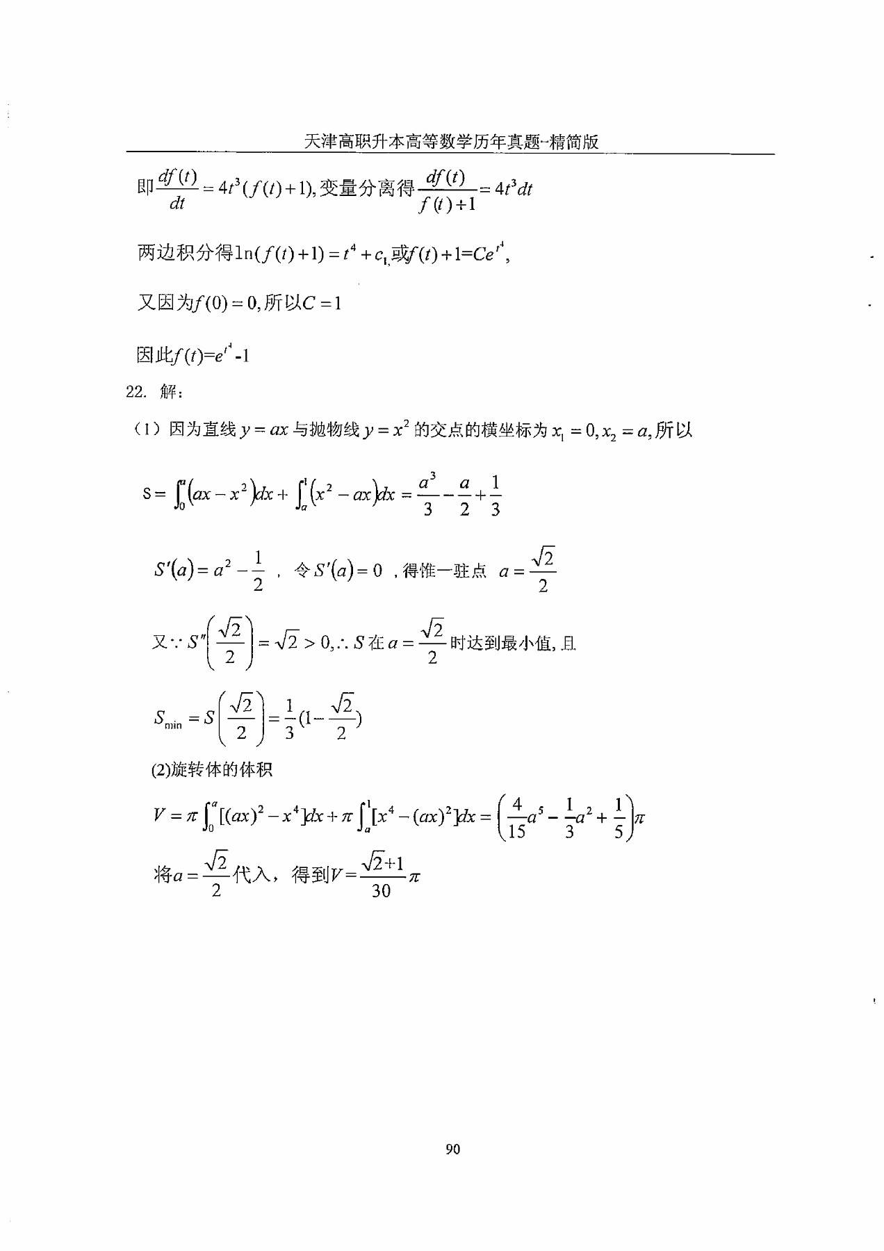
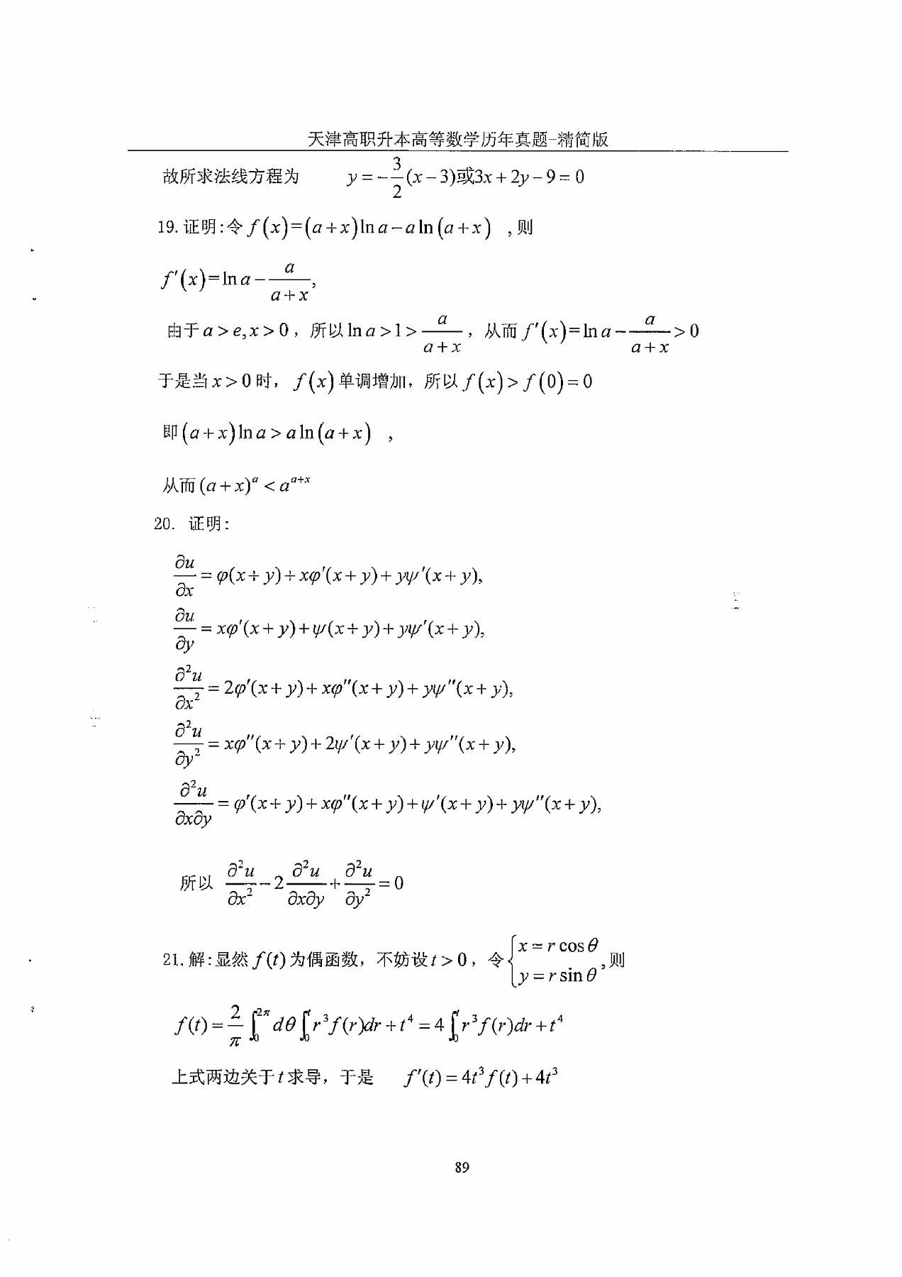
2013年天津市高等院校“高职升本科”招生统一考试高等数学真题及答案
标签:
专升本
天津市专升本
专升本网课
理工中环
恭学教育
恭学网校
南开大学滨海学院
财经大学珠江学院
天津大学仁爱学院
天津农学院
医科大学临床医学院
天津美术学院
天津体育学院
中德应用技术大学
天津市大学软件学院
无忧班--数学
0
你还没有登录,请先
登录或
注册!
还没有人评论,欢迎说说您的想法!