天津中德应用技术大学
机械电子工程(机电一体化方向)专业(高职升本科)
2021年专业基础考试大纲

《机械设计基础》主要知识点
第一部分 常用机构
一、平面机构运动分析
知识点:运动副的类型;平面机构的运动简图;机构的自由度计算;机构具有确定运动的条件。
1.基本概念
机构:机构由构件和运动副组成。
运动副:两个构件直接接触而又能产生一定相对运动的联接称为运动副。
低副:两构件通过面接触组成的运动副称为低副。
高副:两构件通过点或线接触组成的运动副称为高副。
自由度:构件具有独立运动(或独立运动参数)的个数称为自由度。
约束:对构件独立运动所加的限制称为约束。
2.平面机构自由度计算
作平面运动的自由构件具有三个自由度,每个低副引入两个约束,即使构件失去两个自由度;每个高副引入一个约束,使构件失去一个自由度。
计算平面机构自由度的公式: F=3n-2PL-PH
3.机构要具有确定的运动,则机构自由度数必须与机构的原动件数目相等。即,机构具有确定运动的条件是F>0,且F等于原动件个数。
二、平面连杆机构
知识点:铰链四杆机构的基本类型和应用;铰链四杆机构的基本特性及分析计算;铰链四杆机构的演化和应用。
1.基本概念
平面连杆机构:是由若干构件用低副(转动副和移动副)连接而成的,所以又称为低副机构。
曲柄:能绕固定铰链作整周转动的连架杆称为曲柄。
摇杆:只能在小于360度的某一角度内摆动的连架杆称为摇杆。
铰链四杆机构有以下三种基本形式:曲柄摇杆机构,双曲柄机构,双摇杆机构。
举例说明铰链四杆机构基本形式的应用:(教材工程实例)
2.铰链四杆机构存在曲柄的必要条件:
1)最短杆与最长杆长度之和小于或等于其余两杆长度之和。
2)连架杆与机架中必有一个是最短杆。
推论:
1)如果最短杆与最长杆长度之和大于其余两杆长度之和,则无论取哪个杆为机架,均无曲柄存在,该铰链四杆机构为双摇杆机构。
2)如果最短杆与最长杆长度之和小于或等于其余两杆长度之和,根据相对运动原理,取不同杆为机架时,便会得到不同类型的铰链四杆机构,即:
(a)如果以最短杆的任一相邻杆为机架,存在一个曲柄,该机构为曲柄摇杆机构。
(b)如果以最短杆为机架,存在两个曲柄,该机构为双曲柄机构。
(c)如果以最短杆的对面杆为机架,无曲柄存在,该机构为双摇杆机构。
3.急回特性:为缩短非生产时间,提高生产率,常取平均速度校高的为空回行程,平均速度较低的为生产行程。
极位夹角和摆角:摇杆处于两极限位置时,对应的曲柄两位置之间所夹的锐角θ称为极位夹角。摇杆在两极限位置间的夹角称为摇杆的摆角,用Ψ表示。
机构的急回特性可用行程速比系数K表示,即 K=(180°+θ)/(180°-θ)
上式表明:机构的急回特性取决于极位夹角θ。θ角愈大,K值也愈大,机构的急回运动性质愈显著。
3.压力角:从动摇杆上一点受力方向与该力作用点的绝对速度vc方向之间所夹的锐角α称为压力角。
传动角:在实际应用中,为了度量方便,通常以压力角的余角γ来判断连杆机构的传力性能,γ称为传动角。
压力角越小,传动角越大对传动越有利。
4.死点位置:当原动件对从动件的作用点不产生力矩,因此不能使之转动时,机构的这个位置称为死点位置。
死点位置会使机构的从动件出现卡死或运动不确定现象。为了消除死点位置的不良影响,可以对从动曲柄施加外力,或利用飞轮及构件自身的惯性作用,使机构顺利通过死点位置。
死点有利有弊。
第二部分 连接
一、螺纹连接
知识点:常用螺纹特点和主要参数;螺纹连接的基本类型及螺纹紧固件;螺纹连接的预紧和防松。
1,连接可分为两类:动连接和静连接。通常所谓的连接主要是指静连接。静连接按其是否可拆:分为可拆连接和不可拆连接。
2.三角形螺纹主要用于连接,矩形,梯形,锯齿形螺纹主要用于传动,管螺纹广泛用于水,煤气,油和电线管路系统中。
3.螺纹的分类和特点。机械中一般采用右旋螺纹。
4.螺纹的基本参数:大径、小径、中经、螺距、导程、升角、牙型角。
5.螺纹连接的基本类型:(1)螺栓连接(①普通螺栓连接,②铰制孔用螺栓连接)(2)双头螺柱连接。(3)螺钉连接。(4)紧定螺钉连接。
6.螺纹连接的防松:防松就是防止螺纹副产生相对运动。常用防松方法:摩擦防松,机械防松,破坏螺纹副的运动关系。
二、键销连接
知识点:键、销连接的类型和特点;平键连接的合理选择。
1.主要用于轴和轮毂的周向连接。
2.平键、半圆键、楔键、切向键工作原理及主要特点。
3.平键的选用①尺寸选用:截面尺寸和键长②配合选用:基轴制
4.销连接的应用:定位、连接、过载保护。
5.圆柱销、圆锥销的工作原理及主要特点。
第三部分 机械传动
一、齿轮传动
知识点:齿轮的机构特点和种类;齿廓啮合基本定律,渐开线的形成、特点;渐开线齿轮的啮合特性;渐开线直齿轮的几何尺寸计算;正确啮合、正确安装、连续传动条件;斜齿轮几何尺寸计算、正确啮合条件。
1.齿轮的机构特点和种类。
2.啮合基本定律:在啮合传动的任一瞬时,两轮齿廓曲线在相应接触点的公法线必须通过按给定传动比确定的该瞬时的节点,这一条件称为齿廓啮合基本定律。
齿轮机构传动时,为了保持平稳传动,其基本要求是瞬时角速比(即传动比)必须保持不变。
由于两节圆的圆周速度相等,所以一对齿轮传动时,它的一对节圆作纯滚动。即一对外啮合齿轮的中心距恒等于节圆半径之和。
3.渐开线具有如下性质:
(1)发生线沿基圆滚过的长度等于基圆上被滚过的圆弧长度。
(2)因为发生线恒切于基圆,所以渐开线上的任意点的法线必与基圆相切。
(3)渐开线的形状取决于基圆的大小。
(4)渐开线齿廓上任意点的法线(正压力方向)与该点的速度方向线之间所夹的锐角,称为齿轮齿廓在该点的压力角。
(5)基圆内无渐开线。
4.渐开线齿廓啮合特性:
(1)能够保证定传动比传动。
(2)中心距可分性。
(3)齿廓上压力方向不变。
渐开线齿轮的传动比i等于两轮基圆半径的反比。
可分性:两轮中心距稍有改变,其角速比仍保持原值不变的性质。
渐开线齿轮传动中啮合角为常数,啮合角不变表示齿廓间压力方向不变。
5.渐开线标准直齿圆柱齿轮几何尺寸的计算公式。
6.正确啮合条件
渐开线直齿圆柱齿轮的正确啮合条件是两轮的模数和压力角分别相等且等于标准值。
两平行轴斜齿轮正确啮合必须满足:两轮的法面模数和压力角分别相等,且分度圆柱上的螺旋角大小相等、旋向相反(外啮合)或相同(内啮合)的三个条件。
7.标准中心距:一对标准齿轮分度圆相切时的中心距。
在机械设计中,正确安装的条件是按照齿侧无间隙设计其中心距尺寸。
标准齿轮只有在正确安装时,节圆和分度圆重合,啮合角和压力角相等。
8.连续传动的条件
齿轮连续传动的条件是重合度ε≧1。重合度越大,表示同时啮合的齿的对数越多,每对齿分担的载荷就小,传动也越平稳。
9.两平行轴斜齿轮法面模数与端面模数的关系。
二、齿轮系
知识点:轮系的分类;求解定轴轮系
1.基本概念
定轴轮系:轮系运转时,每个齿轮的轴线位置都是固定不动的,这种轮系称为定轴轮系。
周转轮系:至少有一个齿轮的几何轴线绕着其他齿轮的固定轴线转动的轮系。
惰轮:使外啮合次数改变从而改变传动比的符号,却不影响传动比的大小的齿轮。
2.定轴轮系传动比计算
i1k=n1/nk=所有从动轮齿数的乘积/所有主动轮齿数的乘积
3.各轮转向的判定及转速计算
三、带传动
知识点:带传动的类型、特点和应用;V带传动的基本参数和几何尺寸;带传动受力分析和应力分析、弹性滑动和传动比;带传动的张紧、安装与维护。
1.带传动一般由主动带轮、从动带轮和传动带组成。
2.带传动的类型、特点和应用
3.V带传动的基本参数和几何尺寸
V带的楔角:V带两个侧面的夹角
普通V带按截面大小分为Y,Z,A,B,C,D,E七种型号。Y型截面最小,E型最大。
基准直径dd:V带轮的公称直径。即基准宽度处带轮的直径。
基准长度Ld:V带的公称长度。即V带位于带轮基准直径上的周线长度。
带轮的轮槽角φ:带轮轮槽两个侧面的夹角。
包角α:传动带与带轮的接触弧所对应的圆周角。
4.工作能力分析
初拉力、紧边拉力和松边拉力的关系。
有效拉力F:两边的拉力差为带与带轮之间摩擦力的总和称为带传动的有效拉力。
带传动所传递的功率:P=FV 增大初拉力,包角α,摩擦系数f都可以提高有效拉力的值,即提高带传动传递的功率。
带传动的应力分析:带传动工作时,带中的应力有拉应力、弯曲应力和离心拉应力三种;带传动中应力最大值产生在紧边进入小带轮处。
带传动中,带轮直径越大,带的弯曲应力就越小;带速越高,带的离心力越大,不利于传动。
带传动的主要失效形式:打滑和疲劳破坏。因此,带传动的设计准则为:在保证带不打滑的条件下,使带具有一定的疲劳强度和寿命。
5.弹性滑动:是由于带具有弹性且紧边与松边存在拉力差而产生的,是不可避免的现象。带传动正常工作时不能保证准确的传动比是因为带的弹性滑动。
打滑:是由过载(即外载荷大于最大有效拉力)引起的,将使传动失效,打滑是可以避免的。打滑总是先发生在小带轮上。
6.V带传动的张紧方式分为改变中心距的方法和采用张紧轮的张紧装置。张紧轮分内张紧和外张紧方式。
第四部分 轴系
一、轴
知识点:轴的功用和类型;轴的结构设计与分析错误结构。
1.轴的主要功用是支承零件及传递运动和动力;
2.按照承受载荷的不同,轴可分为转轴、心轴和传动轴三类;
工作时承受弯矩并传递扭矩的轴称为转轴,一般减速器的中间轴是转轴;
工作时只受弯矩,不传递扭矩的轴称为心轴,自行车的前轮轴应用的是固定心轴、铁路车辆的车轮轴是转动心轴;
工作时以传递扭矩为主,不承受弯矩或弯矩很小的轴称为传动轴,由发动机、变速器通过万向联轴器带动后桥差速器的轴是传动轴。
3.轴的结构应满足:轴和装在轴上的零件要有准确的工作位置;轴上的零件应便于装拆和调整;轴应具有良好的制造工艺性等。
轴上零件的轴向定位是以轴肩、套筒、轴端挡圈、轴承端盖和圆螺母等来保证的;
轴上零件的周向定位是由键、花键、销、紧定螺钉以及过盈配合等实现的;
当采用轴肩作轴向定位时,为了使零件能靠紧定位面,轴肩根部的圆角半径应小于零件的倒角;
当采用套筒、螺母或轴端挡圈作轴的轴向定位时,为了使零件能靠紧定位面,安装零件的轴段长度应小于零件轮毂的宽度;
轴肩高度应小于滚动轴承内圈厚度,以便拆卸轴承;
在轴肩处采用圆角或凹切圆角过渡是为了减小应力集中;
一根轴上不同轴段的键槽尺寸应尽量统一,并布置在同一母线方向上。
二、轴承
知识点:轴承的功用和类型;滚动轴承的代号、含义和选用。
1.轴承的作用是支承轴及轴上零件,保持轴的旋转精度,减少转轴和支承之间的摩擦和磨损;
2.滚动轴承的结构:内圈、外圈、滚动体、保持架。
3.滚动轴承的公称接触角:滚动轴承中套圈与滚动体接触处的法线和垂直于轴承轴心线的平面间的夹角。
4.滚动轴承的材料;
5.滚动轴承的类型、特性与应用;
6.滚动轴承代号含义、装拆方法
《机械制造基础》主要知识点
一、切削基础知识
知识点:机床切削运动、分析典型机床加工工艺的切削运动、切削用量、切削层
1.切削加工:是用切削工具从毛坯上切去多余的部分,获得几何形状、尺寸和表面结构等方面符合图纸要求的零件的过程。
2.金属切削机床的运动分为切削运动和辅助运动。
(1)切削运动:是切削加工时,刀具与工件之间的相对运动,可分为主运动和进给运动。
1)主运动是刀具与工件之间的主要相对运动。一般,主运动速度最高,消耗功率最大,机床通常只有一个主运动。
2)进给运动是配合主运动实现依次连续不断地切除多余金属层的刀具与工件之间的附加相对运动。进给运动与主运动配合即可完成所需的表面几何形状的加工,根据工件表面形状成形的需要,进给运动可以是多个,也可以是一个;可以是连续的,也可以是间歇的。
(2)辅助运动:是除主运动和进给运动之外,为完成工件的加工全过程所需的其它运动。它包括以下几类:空行程运动、切入运动、分度运动、操纵及控制运动等。
3.工件表面
(1)待加工表面——是工件上有待切除的表面。
(2)已加工表面——是工件上经刀具切削后产生的新表面。
(3)过渡表面(加工表面)——过渡表面是工件上由切削刃形成的那部分表面。
4.切削用量三要素:切削速度Vc、进给量f(进给速度Vf)、切削深度ap(背吃刀量)
5.切削层尺寸三要素:切削宽度bD、切削厚度hD、切削面积Ac

二、切削原理
知识点:切削变形、切削力、切削热与切削温度以及刀具的磨损、刀具寿命、卷屑与断屑等。
1.切削过程实质是一个金属材料受挤压作用产生变形的过程 。
2.切削塑性金属通常经历弹性变形、塑性变形、挤裂、切离四个阶段。
3.金属切削过程四大规律:金属切削变形、切屑的种类、切削力与切削热、刀具磨损与耐用度四大规律。
(1)根据实验时的切削层变形图片可绘制如图所示的切削变形模型,其变形大致可分为三个变形区。
(2)切屑的种类及控制
(3)切削力来源及分解
(4)切削热来源及传散
(5)刀具的磨损及耐用度
(6)切削液
(7)积屑瘤:由于刀屑接触面的摩擦,当切削速度不高又形成连续切屑时,加工钢料和其它塑性材料时,常常在刀刃处粘着剖面呈三角状硬块。硬度为工件硬度的2-3倍,这块金属被称为积屑瘤。
产生原因:由于切屑与刀具的发生强烈的摩擦,使切屑底面金属的流动速度变慢而形成滞流层,在切削过程中产生的适当温度和压力的作用下,当滞流层金属与前刀面的外摩擦阻力大于切屑内部的分子结合力时,部分滞流层金属就会粘接在刀刃上形成积屑瘤。
作用:增大实际前角,减少变形和切削力;保护切削刃、降低刀具磨损。
避免方法:降低切削速度,使温度降低到不易产生粘结现象;采用高速切削,使温度高于积屑瘤消失的极限温度;调整刀具角度,增大刀具前角,减小刀屑接触压力;更换切削液,使用润滑性好的切削液和精研刀具表面,降低磨擦 ;提高工件材料硬度,减小材料硬化指数。
(8)加工硬化:切削塑性材料时,往往发现工件已加工表面的硬度,比工件材料原来的硬度有显著提高现象。
作用:提高工件的耐磨性,但增大表面层的脆性,降低零件抗冲击的能力。
解决方案:增大刀具前角、使用锋利的刀具、提高切削速度、采用适宜的切削液等,都可减少变形和摩擦,都可以减轻加工硬化。
三、刀具性能材料和刀具角度
知识点:刀具性能与刀具材料、刀具角度
(一)刀具性能与刀具材料
1.刀具材料应具备的性能:高的硬度和耐磨性、足够的强度和韧性、高耐热性、良好的工艺性和经济性。
2.生产中所用的刀具材料以高速钢和硬质合金居多。
1)碳素工具钢:低速、简单的手工工具。T10A T12A
2)合金工具钢:制造形状复杂、要求淬火变形小的刀具。9SiCr CrWMn
3)高速钢:制造形状复杂的成形刀具和精加工刀具。W18Cr4V W6Mo5Cr4V2
4)硬质合金:大多数车刀、端铣刀和部分立铣刀,缺点是抗弯强度低,不能承受较大的冲击载荷。YG YT YW类硬质合金
3.新型刀具材料:陶瓷、金刚石、立方氮化硼。
(二)刀具角度
1.切削刀具结构
三面:前刀面,主后刀面,副后刀面
两刃:主切削刃,副切削刃
一尖:刀尖
2.正交平面参考系:基面Pr,切削平面Ps,正交平面Po
3.刀具基本角度名称、作用
前角γo:增大前角,主切削刃锋利,切削轻快,减小切削力和切削热。但过大刀刃很脆弱,容易崩刃。
后角αo:增大可以减少主后刀面与工件之间的摩擦和主后刀面的磨损。但过大刀刃强度降低。
主偏角Kr:减小可得到薄而宽的切屑,增大散热面积,使刀具寿命提高。同时Fp增加。
副偏角Kr’:减小可减小切削残留面积,降低表面粗糙度。
刃倾角λs:正值的刃倾角能使切屑流向待加工表面。

四、典型机床加工
知识点:车削、铣削、孔和螺纹加工、磨削。
(一)车削
1.车床的代号
2.车刀
3.车削夹具
A.三爪卡盘
B.四爪卡盘
C.双顶尖
D.卡盘-顶尖,卡盘-中心架、跟刀架
E.心轴
F.花盘
4.车削方法 车外圆、车端面、车锥度、车孔、车螺纹
(二)铣削
1.铣床的代号
2.铣刀
3.铣削夹具
A.平口钳
B.分度头
C.回转工作台
4.铣削方法 端面铣削和周边铣削 平面铣削、铣削台阶沟槽
(三)孔和螺纹加工
1.孔加工设备
2.钻孔、扩孔、铰孔、镗孔、螺纹加工
(四)磨削
1.砂轮的特性包括磨料、粒度、结合剂、硬度、强度组织、形状与尺寸等方面。
2.内外圆磨削
3.平面磨削
4.无心磨削
五、机械制造工艺方案
(一)制订工艺方案基础知识
1、生产过程:机械产品制造时,将从原材料开始直到制成机械成品的全部劳动过程。
2、机械加工工艺过程
3、工艺过程分为工序、安装、工位、工步、走刀等组成部分。
4、生产纲领
5、零件定位和基准
(1)定位
1)定位:使工件在机床上占据正确位置的过程,称为定位。
2)夹紧:将工件在加工时保持在原先确定位置上的过程,称为夹紧。
3)工件的定位形式:完全定位、不完全定位、欠定位、过定位。
(2)基准
1)设计基准
2)工艺基准
3)测量基准
4)装配基准
(3)定位基准的选择
1)粗基准的选择原则:以不加工的表面作为粗基准;选择要求加工余量均匀的表面作为粗基准;选择余量最小的表面作为粗基准;选择平整、光洁、尺寸足够大的表面作为粗基准;粗基准应尽量避免重复使用。
2)精基准的选择原则:基准重合原则;基准统一原则;互为基准原则;自为基准原则;便于装夹原则。
(二)典型零件加工工艺方案
1、轴类零件加工工艺方案
2、箱体类零件加工工艺方案
3、套筒类零件加工工艺方案
《电工电子技术》复习提纲
主要知识点:
一、电路基本分析方法
1.1 电路和电路模型
电路:由若干理想元件连接而成的电流流通路径的总体。
电路组成:电源、负载、连接导线和控制器件。
电路三种状态:通路、断路(或称开路)和短路。
电路模型:电阻R、电感L、电容C、电压源US和电流源IS 。

1.3 电路元件
1 电阻
2 电容
3 电感
4 电压源和电流源
1.4 电路基本定律
1 欧姆定律: u = ±iR。对直流:U =±IR
u 与 i 的参考方向相同时取正号;相反时取负号。
2 基尔霍夫定律
基尔霍夫电流定律(KCL) : 在任一时刻,任一节点上,所有支路电流的代数和恒为零。∑i=0;对直流:∑I=0 或 ∑ I入=∑ I出
基尔霍夫电压定律(KVL):任一时刻,沿任一回路,所有支路电压的代数和恒等于零。
∑u=0; 对直流:∑U =0 或 ∑ US=∑ IR
1.5 电路基本分析方法
1 叠加定理
有多个独立电源共同作用的线性电路,任一支路电流(或电压)等于每个电源单独作用时在该支路产生的电流(或电压)的代数和(叠加)。
2 戴维南定理
任何一个线性含源二端电阻网络NS,对外电路来讲,都可以用一个电压源和一个电阻相串联的模型等效替代。电压源的电压等于该网络NS的开路电压uOC;串联电阻等于该网络内所有独立源置零后,所得无源二端网络的等效电阻RO。
1.6 线性电路暂态分析
1 换路定律
二、正弦交流电路
2.1 正弦交流电路基本概念
1 正弦量三要素
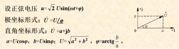
表达式:i(t)=Imsin(ωt+φ)
三要素:幅值Im、角频率ω和初相位φ。
有效值定义:若交流电流 i 通过电阻 R 在一个周期内所产生的热量与直流电流I在同一条件下所产生的热量相等,则这个直流电流I的数值称为交流电流i的有效值。
2 正弦量的相量表示法

2.2 正弦交流电路中的电阻、电感和电容
1 纯电阻正弦交流电路
2 纯电感正弦交流电路
3 纯电容正弦交流电路
2.4 正弦交流电路功率
1 正弦交流电路功率基本概念



2 提高功率因数
2.5 谐振电路
1 串联谐振电路
2 电感线圈与电容并联谐振电路
三、三相电路
3.1 三相电路基本概念
1 对称三相电源概述
2 三相电源联结
3 三相负载联结
3.2 三相电路分析计算
1 对称三相电路分析计算
2 不对称三相电路分析计算
3.3 三相电路功率
1 三相功率分析计算
四、磁路和铁心变压器
4.1 磁路基本概念
1 磁场基本物理量
2 铁磁性物质
3 磁路及其基本定律
4.2 交流铁心线圈
1 电压、电流与磁通的关系
2 交流铁心线圈功率损耗
3 交流铁心线圈等效电路
4 电磁铁
4.3 铁心变压器
1 互感及互感线圈同名端
2 理想变压器
3 实际变压器
五、电动机与控制电路
5.1 常用低压电器
5.2 三相异步电动机
1 三相异步电动机概述
2 三相异步电动机的电磁转矩和机械特性
3 三相异步电动机的起动、调速和制动
4 三相异步电动机的铭牌
六、常用半导体元件及其特性
6.1 普通二极管
1 PN结
2 二极管
3 二极管的检测与选用
6.2 特殊二极管
1 稳压二极管
2 发光二极管
3 光敏二极管
七、放大电路基础
7.1 共射基本放大电路
1 共射基本放大电路概述
2 共射基本放大电路的分析
3 静态工作点稳定电路
7.2 共集电极电路和共基极电路
1 共集电极电路
2 共基极电路
八、直流稳压电路
8.1 整流电路
1 半波整流
2 全波整流
3 桥式整流
8.2 滤波电路
九、数字逻辑基础
9.1 数字电路概述
9.2 数制与编码
1 二进制数和十六进制数
2 BCD码
9.3 逻辑代数基础
1 基本逻辑运算
2 逻辑代数
9.4 逻辑函数
1 逻辑函数及其表示方法
2 公式法化简逻辑函数
3 卡诺图化简逻函数
十、常用集成数字电路
10.1 集成门电路
1 TTL集成门电路
2 CMOS集成门电路
3 常用集成门电路
10.2 组合逻辑电路
1 编码器
2 译码器
10.3 触发器
1 触发器基本概念
2 JK触发器
3 D触发器
10.4 时序逻辑电路
1 寄存器
2 计数器
《控制技术》复习提纲
主要知识点:
第1章 PLC的硬件与工作原理
1.1 概述
1 PLC的基本结构
2 PLC的特点与应用领域
1.2 S7-200系列PLC
1 S7-200的特点
2 CPU模块
3 数字量输入与数字量输出
4 数字量扩展模块与模拟量扩展模块
5 称重模块与位置控制模块
1.3 I/O地址分配与外部接线
1.4 逻辑运算与PLC的工作原理
1 用触点和线圈实现逻辑运算
2 PLC的工作原理
第3章 S7-200编程基础
3.1 PLC的编程语言与程序结构
1 PLC编程语言的国际标准
2 S7-200的程序结构
3.2 数据类型与寻址方式
1 数制
2 数据类型
3 CPU的存储区
4 直接寻址与间接寻址
3.3 位逻辑指令
1 触点指令与堆栈指令
2 输出类指令与其他指令
3.4 定时器与计数器指令
1 定时器指令
2 计数器指令
第4章 S7-200的功能指令
4.1 功能指令概述
1 怎样学习功能指令
2 S7-200的指令规约
4.2 数据处理指令
1 比较指令与数据传送指令
2 移位与循环移位指令
3 数据转换指令
4 表格指令
5 实时时钟指令
4.3 数学运算指令
1 整数运算指令
2 浮点数函数运算指令
3 逻辑运算指令
4.4 程序控制指令
1 跳转指令
2 循环指令
3 其他指令
4.5 局部变量与子程序
1 局部变量
2 子程序的编写与调用
4.6 中断程序与中断指令
1 中断的基本概念与中断事件
2 中断指令
3 中断程序举例
4.7 高速计数器与高速脉冲输出指令
1 高速计数器的工作模式与外部输入信号
2 高速计数器的程序设计
3 高速脉冲输出与开环位置控制
4.8 数据块应用与字符串指令
1 数据块概述
2 字符、字符串与数据的转换指令
3 字符串指令
第5章 数字量控制系统梯形图程序设计方法
5.1 梯形图的经验设计法
5.2 根据继电器电路图设计梯形图的方法
1 基本方法
2 注意事项
5.3 顺序控制设计法与顺序功能图
1 步与动作
2 有向连线与转换条件
3 顺序功能图的基本结构
4 顺序功能图中转换实现的基本规则
5.4 使用置位复位指令的顺序控制梯形图设计方法
1 单序列的编程方法
2 选择序列与并行序列的编程方法
5.5 使用SCR指令的顺序控制梯形图设计方法
1 顺序控制继电器指令的应用
2 选择序列与并行序列的编程方法
5.6 具有多种工作方式的系统的顺序控制梯形图设计方法
1 系统的硬件结构与工作方式
2 公用程序与手动程序
3 自动程序
- 还没有人评论,欢迎说说您的想法!